图/文 李昌霞
番茄作为全球消费最广的蔬菜之一,其采后品质的保持是产业面临的重大挑战。果实采摘后易发生软化、色泽变差、糖酸风味失调等问题,严重影响商品价值与货架期。褪黑素(Melatonin)作为一种天然存在的植物生长调节物质,在调控果实成熟、延缓衰老及提升品质方面展现出潜力。然而,其对番茄采后品质的系统性影响、最优作用浓度及内在分子机制仍有待深入阐明。
近期,db真人体育官网李昌霞老师课题组在Postharvest Biology and Technology上发表了题为“Revealing the significance of melatonin in postharvest quality of tomato fruit, especially in sugar metabolism and transport”的研究论文。该研究通过综合运用主成分分析-隶属函数法与灰色关联分析,结合分子生物学手段,系统解析了褪黑素处理对三个不同番茄品种采后品质的改善效果,并揭示了其通过调控糖代谢与运输关键基因来提升品质的核心机制。

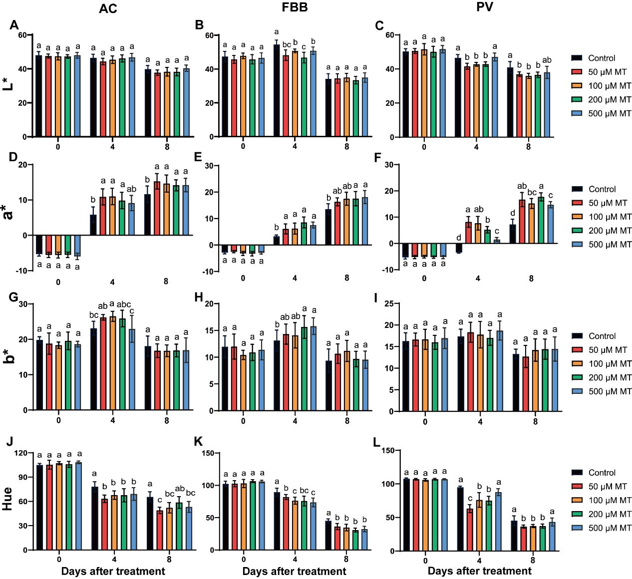
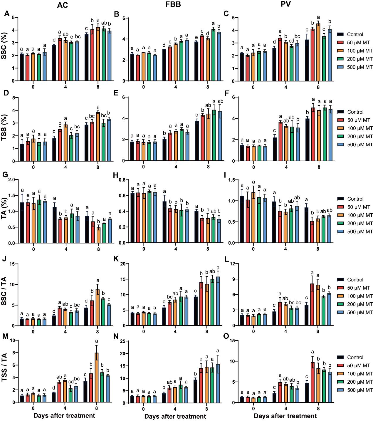
该研究选取‘Ailsa Craig’(AC)、‘Fen Beibei’(FBB)和‘Provence’(PV)三个番茄品种,分别采用0、50、100、200及500 μM浓度的褪黑素进行采后处理(图1)。通过对果实色泽、质地、糖酸含量等多项指标的动态监测与综合分析发现,100 μM褪黑素处理对提升综合品质效果最为显著(表1)。该浓度处理能有效促进果实转红(图2),提高糖酸比(图3),并加速果实软化进程(图4)。

图1. 不同浓度的褪黑素促进了采后AC、FBB和PV番茄果实的着色。
表1. 不同浓度褪黑素处理后AC、FBB和PV番茄果实的综合品质指标


图2. 不同浓度褪黑素对采后AC、FBB和PV番茄果实L*、a*、b*值及色相的调控作用。A-C分别为AC、FBB和PV番茄果实的L*值;D-F分别为AC、FBB和PV番茄果实的a*值;G-I分别为AC、FBB和PV番茄果实的b*值;J-L分别为AC、FBB和PV番茄果实的色相值。数据表示为平均值±标准差。不同小写字母表示处理间存在显著差异(P<0.05)。

图3. 不同浓度褪黑素对采后AC、FBB和PV番茄果实总糖和酸含量的调控作用。A-C分别为AC、FBB和PV番茄果实的可溶性固形物含量(SSC);D-F分别为AC、FBB和PV番茄果实的总可溶性糖(TSS);G-I分别为AC、FBB和PV番茄果实的可滴定酸度(TA);J-L分别为AC、FBB和PV番茄果实的固酸比(SSC/TA);M-O分别为AC、FBB和PV番茄果实的糖酸比(TSS/TA)。数据表示为平均值±标准差。不同小写字母表示处理间存在显著差异(P<0.05)。

图4. 不同浓度的褪黑素降低了采后AC、FBB和PV番茄果实的硬度。A,AC番茄果实硬度变化;B,FBB番茄果实硬度变化;C,PV番茄果实硬度变化。数据为平均值±标准差。不同小写字母表示处理间存在显著差异(P<0.05)。
在机制层面,研究发现褪黑素通过显著上调SlTIV1、SlLIN5、SlAMY2、SlBAM3等基因的表达,促进蔗糖分解与淀粉降解;同时下调SlFRK2、SlCIF1等基因的表达,抑制糖分的分解消耗,从而共同驱动果实中葡萄糖、果糖和蔗糖的积累(图5,图6)。此外,褪黑素还通过调控SlAREB1、SlARF10、SlbZIP1、SlCDPK27及SlHY5等一系列转录因子的表达,间接影响下游糖代谢与运输相关基因的网络(图7)。

图5. 褪黑素对采后AC、FBB和PV番茄果实中蔗糖、果糖和葡萄糖含量的影响。A、B、C分别显示AC、FBB和PV番茄果实中果糖含量的变化;D、E、F分别显示AC、FBB和PV番茄果实中葡萄糖含量的变化;G、H、I分别显示AC、FBB和PV番茄果实中蔗糖含量的变化。数据为平均值±标准差。标记“*”表示处理间存在显著差异,P<0.05。

图6. 褪黑素对采后AC、FBB和PV番茄果实中糖代谢基因的影响。

图7. 褪黑素对收获后 AC、FBB和PV番茄果实中与糖运输相关的基因以及与糖代谢相关的转录因子基因的影响。A-C为AC番茄中的糖运输相关基因;D-H为AC番茄中的糖代谢相关转录因子基因;I-K为FBB番茄中的糖运输相关基因;L-P为FBB番茄中的糖代谢相关转录因子基因;Q-S为PV番茄中的糖运输相关基因;T-X为PV番茄中的糖代谢相关转录因子基因。
此外,灰色关联分析揭示,在众多品质指标中,可溶性果胶、总可溶性糖(TSS)、可溶性固形物(SSC)、葡萄糖、糖酸比等与糖代谢密切相关的指标,与果实综合品质评价指数的关联度最高(图8)。这表明糖代谢途径是褪黑素提升番茄采后品质的核心调控靶点(图9)。

图8. 番茄果实中CEI与质量指标间的灰色关联度。Chl a,叶绿素a;Chl b,叶绿素b;Total Chl,总叶绿素;Lyco,番茄红素;SSC,可溶性固形物含量;TSS,总可溶性糖;TA,可滴定酸度;Glu,葡萄糖;Fru,果糖;Suc,蔗糖;Cel,纤维素;Hem,半纤维素;SP,可溶性果胶;PP,原果胶;MA,苹果酸;CA,柠檬酸。红色标注指标为GRA排名中位列前十的指标。

图9
. 褪黑素参与番茄果实采后糖代谢与转运的调控。CWINV,细胞壁转化酶;HT/STP,己糖/糖转运蛋白;SWEET,糖最终输出转运蛋白;SUT,蔗糖转运蛋白;vGT,液泡葡萄糖转运蛋白;TST/TMT,质膜糖/单糖转运蛋白;vAINV,液泡酸性转化酶;NINV,中性转化酶;SUS,蔗糖合成酶;FRK,果糖激酶;HK,己糖激酶。
本研究不仅明确了褪黑素改善番茄采后品质的最适浓度(100 μM),揭示了其作用效果存在品种差异性(PV>AC>FBB),更从基因表达层面系统阐释了其通过精细调控糖代谢与运输网络来提升果实内在品质的分子蓝图。该研究为将褪黑素开发为一种高效、绿色的番茄采后保鲜剂提供了坚实的理论依据,也为通过代谢工程定向改良果实品质提供了新的候选基因与调控模块。
DB视讯为该论文第一完成单位,李昌霞助理教授为通讯作者,刘芸志为第一作者(现于中国农业大学攻读博士学位),冯艺萍为第二作者(现于湖南大学攻读硕士学位)。该研究得到了广西研究生教育创新计划、广西第一批青苗人才计划等项目的资助。
一审一校:何丽珊
二审二校:杨艳琼
三审三校:姚 伟